目的:
此前实验发现,在肝癌细胞中存在与丙酮酸相关基因X,或可调控肝癌细胞的有氧糖酵解途径。因此对肝癌细胞进行基因敲除和过表达处理,通过LiCellMo活细胞代谢分析仪连续监测基因编辑后的细胞糖酵解水平的变化,验证其是否能够调控肝癌细胞糖酵解的水平,,从而为肿瘤和代谢相关疾病的治疗提供新的思路。
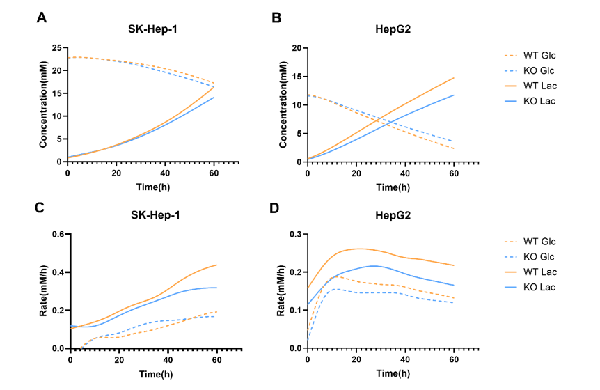
结果:
SK-Hep-1细胞KO组与WT相比,基因敲除直接抑制细胞乳酸产生,略微抑制葡萄糖摄取(图1A)。SK-Hep-1细胞KO组明显下调乳酸生成速率,有显著性差异(图1C)。HepG2细胞KO组与WT组相比,基因敲除直接抑制细胞乳酸产生,并抑制葡萄糖消耗(图1B)。HepG2细胞KO组大幅降低细胞乳酸生成速率,轻微降低葡萄糖消耗速率(图1D)。

图1 在SK-Hep-1细胞WT组及KO组细胞培养60h过程中,培养基中的葡萄糖及乳酸浓度变化曲线如图A所示,葡萄糖消耗速率及乳酸生成速率曲线如图B所示,细胞密度为5×104/孔。在HepG2细胞WT组及KO组细胞培养60h过程中,培养基中的葡萄糖及乳酸浓度变化曲线如图C所示,葡萄糖消耗速率及乳酸生成速率曲线如图D所示,细胞密度为1×105/孔。四孔一组,曲线反映平均值。
评价:
操作简单,数据准确,该设备可以无差别地检测改变某些条件后对葡萄糖的消耗和乳酸生成的影响。
© 普和希健康医疗器械(上海)有限公司 版权所有 侵权必究 法律声明